51黑料
  • 首页
  • 最新爆料
  • 热门大瓜
  • 娱乐头条
  • 网红明星
  • 娱乐新闻
  • 吃瓜热榜
  • 男人吃乳头视频,揭秘男性观看乳头视频的隐秘心理

    你知道吗?在互联网的世界里,总有一些话题让人忍不住想要一探究竟。今天,我们就来聊聊一个比较敏感的话题——男人吃乳头视频。当然,这...

    • 男人吃乳头视频,揭秘男性观看乳头视频的隐秘心理
    • 男人吃乳头视频,揭秘男性观看乳头视频的隐秘心理
    • 男人吃乳头视频,揭秘男性观看乳头视频的隐秘心理
    admin admin 2025-11-17 113 0
    热门大瓜
  • 撑大肚子视频,揭秘视频中的惊人真相

    你有没有看过那些让人捧腹大笑的撑大肚子视频?是不是觉得那些搞笑的小胖子们,肚子上的肉肉一颤一颤的,简直太可爱了?今天,就让我带你...

    • 撑大肚子视频,揭秘视频中的惊人真相
    • 撑大肚子视频,揭秘视频中的惊人真相
    • 撑大肚子视频,揭秘视频中的惊人真相
    admin admin 2025-11-16 111 0
    最新爆料
  • 视频素材网站,视频素材网站精选集锦

    亲爱的读者们,你是否曾在寻找视频素材时感到头疼不已?别担心,今天我要带你走进一个神奇的世界——视频素材网站,让你轻松找到心仪的素...

    • 视频素材网站,视频素材网站精选集锦
    • 视频素材网站,视频素材网站精选集锦
    • 视频素材网站,视频素材网站精选集锦
    admin admin 2025-11-16 103 0
    热门大瓜
  • 99爱视频在线观看,畅享在线视听盛宴,尽在指尖

    你有没有想过,在这个信息爆炸的时代,找到一个既能放松心情又能学到知识的地方是多么难得?今天,就让我带你走进一个神奇的世界——99...

    • 99爱视频在线观看,畅享在线视听盛宴,尽在指尖
    • 99爱视频在线观看,畅享在线视听盛宴,尽在指尖
    • 99爱视频在线观看,畅享在线视听盛宴,尽在指尖
    admin admin 2025-11-16 115 0
    娱乐新闻
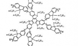
  • 树枝状大分子

    你知道吗?在我们周围的世界里,有一种神奇的存在,它们就像是大自然的魔法师,悄无声息地改变着我们的世界。它们就是——树枝状大分子!...

    • 树枝状大分子
    • 树枝状大分子
    • 树枝状大分子
    admin admin 2025-11-16 108 0
    热门大瓜
  • 亲乳房视频,关爱女性健康,倡导科学育儿

    你有没有想过,我们每天挂在胸前的那两块宝物——乳房,竟然也能成为视频的主角?没错,就是那种亲乳房视频!听起来是不是有点害羞,又有...

    • 亲乳房视频,关爱女性健康,倡导科学育儿
    • 亲乳房视频,关爱女性健康,倡导科学育儿
    • 亲乳房视频,关爱女性健康,倡导科学育儿
    admin admin 2025-11-16 111 0
    网红明星
  • 在线日批视频,内容精华与观看指南

    你有没有发现,最近网上那些日批视频简直让人停不下来啊!没错,就是那种短小精悍、内容丰富、形式多样的视频,它们就像一颗颗闪亮的珍珠...

    • 在线日批视频,内容精华与观看指南
    • 在线日批视频,内容精华与观看指南
    • 在线日批视频,内容精华与观看指南
    admin admin 2025-11-16 117 0
    娱乐头条
  • 33视频,揭秘热门短视频背后的创作奥秘

    亲爱的读者,你是否曾在某个闲暇的午后,被手机屏幕上跳动的视频吸引?你是否曾好奇过,那些让你捧腹大笑、感动落泪的视频背后,是怎样的...

    • 33视频,揭秘热门短视频背后的创作奥秘
    • 33视频,揭秘热门短视频背后的创作奥秘
    • 33视频,揭秘热门短视频背后的创作奥秘
    admin admin 2025-11-16 114 0
    娱乐头条
  • 亲亲视频,捕捉生活中的温馨瞬间

    亲亲视频:揭秘网络世界的甜蜜秘密想象你正坐在温馨的房间里,手中捧着一杯热腾腾的咖啡,屏幕上播放着一段段温馨的亲亲视频。这些视频,...

    • 亲亲视频,捕捉生活中的温馨瞬间
    • 亲亲视频,捕捉生活中的温馨瞬间
    • 亲亲视频,捕捉生活中的温馨瞬间
    admin admin 2025-11-15 120 0
    娱乐新闻
  • 免费观看视频软件,畅享影视盛宴的秘密通道

    亲爱的读者们,你是否曾在某个悠闲的午后,想要轻松地看一部电影或者追一部热门剧集,但又不想为此支付一分钱?别担心,今天我要给你介绍...

    • 免费观看视频软件,畅享影视盛宴的秘密通道
    • 免费观看视频软件,畅享影视盛宴的秘密通道
    • 免费观看视频软件,畅享影视盛宴的秘密通道
    admin admin 2025-11-15 96 0
    热门大瓜
首页 上一页 10 11 12 13 14 15 16 17 18 19 下一页 尾页

正在加载...

没有更多内容

加载错误

热评文章

  • www.99热视频,揭秘热门短视频平台背后的精彩故事

    www.99热视频,揭秘热门短视频平台背后的精彩故事

    2025-08-19
  • 显微镜的使用方法视频,视频教程精华概述

    显微镜的使用方法视频,视频教程精华概述

    2025-08-19
  • 日本波霸视频,揭秘日本视频中的独特魅力

    日本波霸视频,揭秘日本视频中的独特魅力

    2025-08-19
  • 日本成片视频,揭秘幕后制作与流行趋势

    日本成片视频,揭秘幕后制作与流行趋势

    2025-08-19
  • 高速列车视频,高速列车视频中的速度与激情之旅

    高速列车视频,高速列车视频中的速度与激情之旅

    2025-08-19
  • 真人日皮视频,揭秘日常生活中的皮囊与灵魂

    真人日皮视频,揭秘日常生活中的皮囊与灵魂

    2025-08-19
  • 瑶柱是什么东西,探寻海味珍品背后的故事

    瑶柱是什么东西,探寻海味珍品背后的故事

    2025-08-19
  • 视频编码格式,探索最新视频编码格式的创新与变革

    视频编码格式,探索最新视频编码格式的创新与变革

    2025-12-16

热门文章

  • 男人搞女人视频,背后真相与警示

    男人搞女人视频,背后真相与警示

    2025-11-15
  • 经典毛片视频,一段尘封的历史记忆

    经典毛片视频,一段尘封的历史记忆

    2025-09-25
  • 性交在线视频,揭秘网络性教育的新趋势

    性交在线视频,揭秘网络性教育的新趋势

    2025-11-15
  • 幼儿园早操视频,童趣盎然,健康快乐

    幼儿园早操视频,童趣盎然,健康快乐

    2025-09-25
  • 怎么登录别人的腾讯视频会员,如何轻松登录他人腾讯视频会员账号?

    怎么登录别人的腾讯视频会员,如何轻松登录他人腾讯视频会员账号?

    2025-09-26
  • 显微镜的使用方法视频,视频教程精华概述

    显微镜的使用方法视频,视频教程精华概述

    2025-08-19
  • 在线久久视频,探索无限娱乐世界的精彩瞬间

    在线久久视频,探索无限娱乐世界的精彩瞬间

    2025-09-25
  • 男女性生活视频,真实情感与生理互动的视觉解读

    男女性生活视频,真实情感与生理互动的视觉解读

    2025-09-25

标签列表

  • 吃瓜网t7wcc (0)
  • 黑料吃瓜网 (0)
  • 网曝黑料猛料吃瓜网 (0)
  • 反差黑料吃瓜网正能量 (0)
  • 反差婊吃瓜黑料热门网曝 (0)
  • 国产热门事件黑料吃瓜网汇总 (0)
  • 17吃瓜网官网 (0)
  • 网曝黑料国产吃瓜 (0)
  • cg51吃瓜网黑料 (0)
  • 黑料吃瓜网免费进入 (0)
  • 51fun吃瓜网-热心群众张炳 (0)
  • 吃瓜网51爆料yandex (0)
  • 吃瓜爆料网不打烊 (0)
  • 51FUN吃瓜网官网 (0)
  • 免费黑料吃瓜网爆网站 (0)
  • 黑料吃瓜最新官网地址:ZZTT.WINZZTT.WIN (0)
  • 吃瓜黑料网免费进入 (0)
  • 国产热门事件黑料吃瓜网 (0)
  • 网曝吃瓜黑料一区在线 (0)
  • 黑料吃瓜网在线进入首页 (0)
  • 黑瓜吃料网入口 (0)
  • 黑料吃瓜155.网爆国产 (0)
  • 17C吃瓜网 - 免费吃瓜 (0)
  • 黑料吃瓜网-热点事件-黑料不打烊 (0)
  • 51吃瓜爆料黑料官网I60UJBN (0)

Copyright 2025 51黑料- 每日大赛在线 - 今日大赛 - 黑料网每日大赛